Effects of 8 weeks plyometric training on injury prevention of domestic cricket players: A randomized clinical trial
DOI:
https://doi.org/10.52567/trehabj.v8i04.85Abstract
Background: plyometric training enhances muscle function, improves dynamic strength, and potentially reduces injury risk by increasing the stiffness of the muscle-tendon complex.
Objective: To determine the effects of 8-week plyometric exercises on injury prevention of domestic cricket players.
Methods: A randomized clinical trial was conducted at the sports club PAF base in Murid, Chakwal. A total of n=34 domestic cricket players were included in the study through a non-probability purposive sampling technique. Male players between the age gap of 18-25 years and having no history of trauma/injury in the past month were included in this study. They were randomly allocated into the plyometric group (n=18) and a conventional group (n=18). Group A received plyometric training whereas group B received conventional training. The Nine Test Battery Screening was used for assessment. The assessment was done at baseline and after the 8th week.
Results: The mean age of cricketers in this study was 22.56±2.427. After 8 weeks of intervention, a significant difference was found in the plyometric group as compared to the conventional group for injury prevention using nine test battery screening with p-value (p<0.05)
Conclusion: Plyometric training is effective in improving physical fitness and thus prevents injury in cricket players.
INTRODUCTION
Cricket, is a completely non-contact sport, although injuries can happen in different ways [1]. Overuse injuries are widespread in elite cricket and are a result of the physical demands of the game, especially while delivering the ball [2]. There was a range of 5.4% to 25% of injuries to the head, neck, and face, and 19.8% to 34.1% of injuries to the upper limbs. Lower limb injuries often made up 22.8% to 50.0% of all injuries, whereas back and trunk injuries typically made up 18.0% to 33.3% of all injuries.[1] Injuries from cricket are most frequently strains, sprains, fractures, bruises, and open wounds [3].
Among the various injuries that cricket players face, rotator cuff injuries are most recurrent [4]. This results in an overexerted shoulder from movements like hitting, fielding, and bowling. Fielders and bowlers are particularly susceptible to rotator cuff problems due to their heavy shoulder use and repetitive movements which bring the muscles and tendons under stress [3] [5].
Other common injuries in cricket include meniscus tears caused by applying lateral stress to the flexed knee while the foot is placed on the ground and the femur rotates internally. 10. Shoulder dislocations are commonly seen amongst bowlers and fielders which may result from forceful shoulder movements. [9]. Moreover, due to the quick acceleration and deceleration involved in bowling and batting, trunk-side train injuries are another common occurrence among cricket players, particularly fast bowlers [11]. Ankles suffer a great deal of strain during cricket. This usually occurs when the ankle twists inwards, but it can also happen when batsmen turn from running or when bowlers land in old footmarks at the bowling crease [6].
Enhancing or maintaining physical fitness is the ultimate or intermediate goal of exercise. Measuring physical fitness is widespread and useful before preventative and rehabilitative treatments since it is directly linked to illness prevention and health promotion [7]. Strength, muscular endurance, cardiorespiratory power, mobility, balance, coordination, and body composition were all recognized as crucial elements of fitness in these investigations. Research has unequivocally demonstrated that increased fitness reduces the risk of injury and that people with lesser muscular or cardiorespiratory endurance are more likely to sustain an injury [8]. In order to improve the performance of the athlete and in return prevent injury, three major exercise approaches are taken which include firstly the traditional weight training, secondly plyometric training, and thirdly dynamic weight training [9].
Plyometric training is a fast-paced, explosive exercise that helps athletes perform better by developing their power, speed, and agility using the principle of the stretch-shortening cycle [10]. Plyometric training, when done regularly, can help prevent injuries and improve strength, power, agility, and coordination over time [11]. Additionally, when plyometrics was contrasted with other training modalities (weight training, eccentric training, and isometric training), several authors found that PT had a significant positive impact on maximal strength [12].
Plyometric training, a popular type of physical conditioning, uses jumping exercises because the muscular action of the stretch-shortening cycle functions as a potentiating neurophysiological mechanism. Plyometric workouts provide both technical and physical advantages, but they can also help athletes avoid injuries. Plyometric training has been shown to be beneficial in lowering upper and lower limb injuries in a variety of sports, including cricket, according to a systematic study. The results indicated that by enhancing neuromuscular control, proprioception, and landing mechanics, well-executed plyometric training regimens can reduce the incidence of lower body injuries.
METHODOLOGY
This single-blinded randomized controlled trial was conducted at PAF base Murid, Chakwal from 1st September 2023 to 30th November 2023 after approval from the coach of the PAF cricket team. Ethical approval was taken from the Research Ethical Committee of Riphah College of Rehabilitation and Allied Health Sciences, Islamabad (Riphah/RCRAHS-ISB/REC/MS-PT/01667).
Male cricketers aged 18-25 years were included in the study. The cricket having a less than 3-month history of any musculoskeletal injury was excluded.
The sample size calculated for this study was n=36 participants and was calculated with G*power while we kept the effect size small (0.25) and the α error margin 0.05. To keep the β error probability out of the equation, the power (1- β) was kept at 0.90%. A total of n=36 participants were then randomly allocated into two groups, n=18 were in the plyometric group (Group A) while n=18 of them were included in the conventional group (Group B). From Group B n=2 participants did not follow the intervention plan and did not complete the study, so excluded from the analysis. (Figure 1).

Figure 1: CONSORT diagram
Intervention: Both Groups received 8 8-week assigned training programs thrice a week for a 60-minute session with 1 1-minute rest period between each set of exercises. Group A received 8-week plyometric training, while Group B received conventional training protocol as routine. The details of exercises in both groups have been presented in Tables 1 and 2.
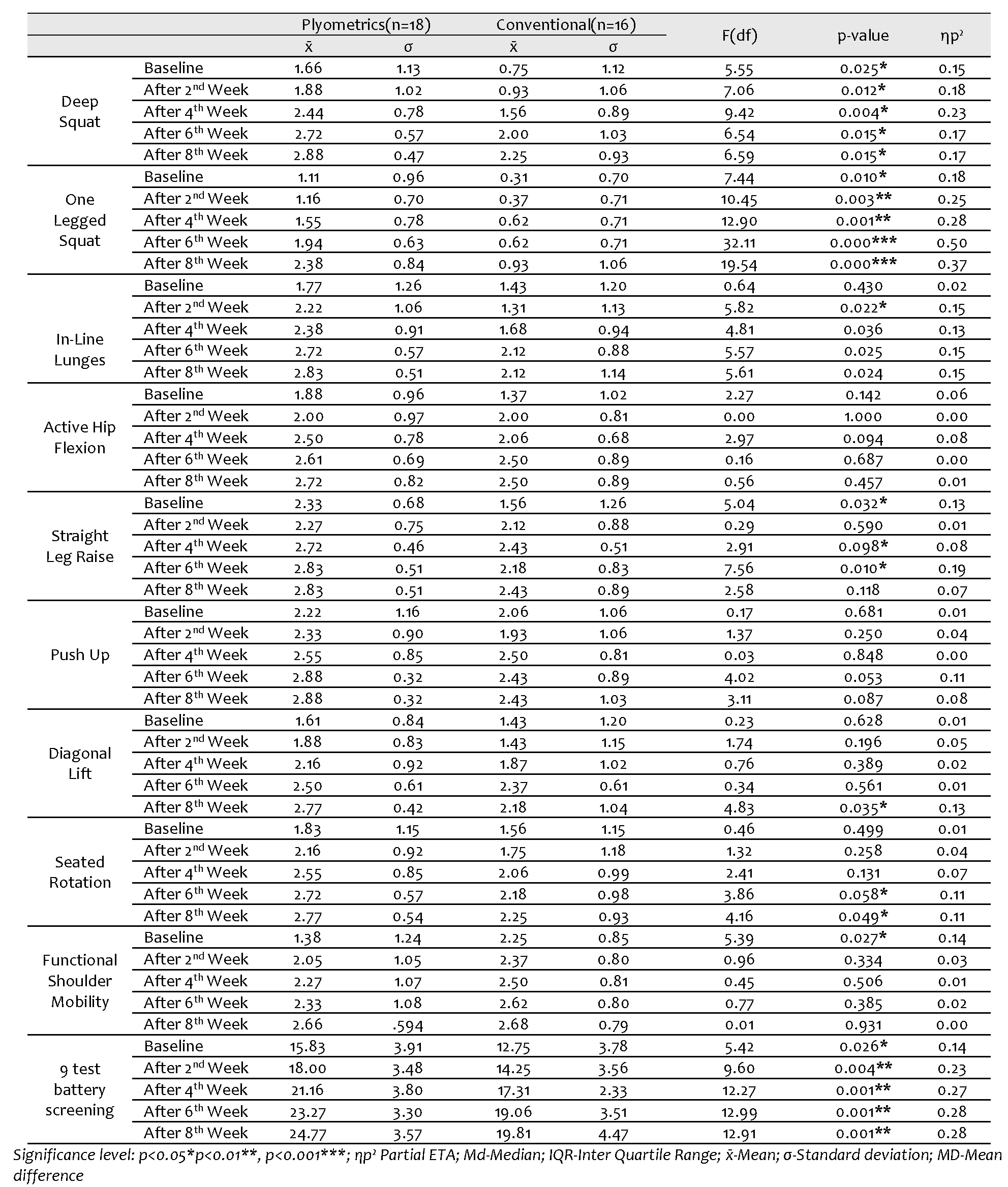
Subjects were evaluated at baseline, after the 2nd, 4th, 6th, and 8th weeks. The assessments were made through nine test battery screenings. Nine functional movement tests make up the nine-test battery screening, which is primarily used to screen athletes for movement competency in Deep squats, one-legged squats, inline lunges, Active hip flexion, SLR, Push Diagonal lift, seated rotation, and functional shoulder mobility. It also detects pain during movements and musculoskeletal side-to-side imbalances, allowing for correction that lowers the risk of injury and improves performance and quality of life [7]. An earlier examination of the 9TSB's intra- and inter-rater reliability yielded an ICC of 0.80.
The data was analysed with SPSS Ver 25. The descriptive statistics mean, standard deviations, frequency, and percentages were used for data presentation. The mixed-ANOVA was used to determine the interaction effects between training protocol and level of assessment. For the main effect, One-way ANOVA was used for between-group comparison, and RM-ANOVA was used for with-in-group changes.
Table 1: Plyometric Protocol

Table 2: Conventional Protocol

RESULTS
The mean age of the athletes was 22.56±2.427 (R=18-25) years. Most of the players were batsmen (n=16), While n=10 were fast bowlers, n=6 were spinners and n=2 were all-rounders. (figure 2)
The results of RMANOVA showed that both groups were significantly improved (p<0.05) from baseline to the end of 8 weeks of training in all outcome measures in the 9-test battery and its total score. While pairwise comparison of Deep squats (p=0.013) and one-legged squats (p=0.013) also improved significantly from 2nd to 4th week. While straight leg raise (p<0.001) was improved from the 6th – 8th week the total score of the 9-test battery was also significantly improved (p<0.01) from the 2nd week to the 6th week respectively. In the conventional training group the pairwise result showed significant improvement in In-line Lunges (p=0.03) and 9 test battery screening score p=0.004) from the 4th to 6th week, and active hip flexion (p<0.001) from the 6th -8th weeks, respectively.
Some variables like diagonal rotation (p=0.03) and seated rotation (p=0.04) were comparable at the baseline and found significantly improved scores after 8-week plyometric training as compared to conventional training, while active hip flexion and push-ups were not significantly (p≥0.05) different. (table 3)
Moreover, deep squats, one-legged squats, straight leg raises, Functional Shoulder Mobility, and 9TBS were not comparable at baseline, so the mean of the mean differences was compared. The result showed that functional shoulder mobility was significantly improved (p=0.027) in a plyometric group than conventional training group. While other outcome measures showed no significant (p≥0.05) difference between groups. (Table 4)

Figure 2: Playing role of participant
Table 3: With-in group changes from baseline to 8th week in Group A and B

Table 4: Between Group Comparison group A and group B (9TSB)

Table 5: Average mean Comparison between Groups

DISCUSSION
The purpose of this study was to determine the effects of plyometric exercise on injury prevention in domestic cricket players.
In the plyometric group, all variables of the 9-test battery were improved in the 8-week intervention. Plyometric training serves as an injury prevention tool, ensuring players can sustain the physical demands of cricket while improving their field performance[13]. This structured approach gives them an edge in competitive cricket while prolonging their careers. These exercises are effective methods for improving joint stability, addressing muscle imbalances, and enhancing balance and coordination, which in turn optimizes performance and aids in injury prevention[14, 15]. Plyometric training stimulates proprioceptors, improving the body’s awareness of joint position and movement, contract together, creating a stabilizing effect and improves the tensile strength of ligaments and tendons, which enhances their ability to resist abnormal joint movement during activities[16, 17].
Early improvements in deep squat test scores in the 2nd to 4th week are likely due to rapid neural adaptations and enhanced motor coordination[18]. Delayed straight leg raise test improvement in the 6th to 8th week indicates improved muscle-tendon elasticity[19]. The total score of the 9-test battery improvement from the 2nd to 6th week highlights the cumulative effect of enhanced strength, stability, and coordination across multiple functional tests[20].
In the conventional training group, significant improvements were observed in In-Line Lunges (p=0.03) and the 9-Test Battery Total Score (p=0.004) from the 4th to the 6th week, while Active Hip Flexion showed notable gains (p<0.001) from the 6th to the 8th week. These results highlight the gradual strength and flexibility enhancements achieved through controlled, repetitive movements targeting specific muscle groups[21]. Conventional training likely emphasized core and lower-limb strength, contributing to better balance and stability in tasks like lunges[22]. Additionally, stretching and isolated strength exercises improved flexibility and range of motion, particularly in the hip flexors, resulting in late-phase improvements. This training approach effectively builds strength and ROM over time, aligning with its progressive nature[23, 24].
The comparison between plyometric and conventional training reveals distinct advantages in specific outcome measures. Plyometric training demonstrated significantly greater improvements in Diagonal Rotation (p=0.03) and Seated Rotation (p=0.04) after 8 weeks, attributed to its emphasis on explosive, multidirectional movements that enhance core stability and rotational power through the stretch-shortening cycle (SSC)[25]. Additionally, Functional Shoulder Mobility significantly improved (p=0.027) in the plyometric group, likely due to dynamic exercises like medicine ball throws and plyometric push-ups, which enhance neuromuscular efficiency and joint proprioception[26]. However, outcomes such as Active Hip Flexion and Push-Up performance showed no significant differences (p≥0.05) between groups, suggesting that both training modalities effectively target these areas through distinct mechanisms of plyometric training through dynamic strength and neural adaptations, and conventional training through controlled, isolated exercises[27]. Furthermore, variables such as Deep Squat, One-Legged Squat, Straight Leg Raise, and 9-Test Battery Score (9TBS) showed no significant differences between groups, likely due to baseline disparities and the complementary nature of the training approaches[28]. While plyometric training yielded early gains in dynamic tasks, conventional training exhibited gradual improvements, indicating both methods effectively enhance functional movement patterns through different pathways[29]. These results highlight the unique and synergistic benefits of each training modality, underscoring the potential for integrating both to optimize performance and functional outcomes.
One key limitation is the short 8-week training duration, which captures only the short-term effects of the interventions. Furthermore, potential injury risks associated with plyometric training, particularly for less experienced athletes, were not considered, raising concerns about the practicality and safety of implementing such programs broadly. Addressing these limitations in future studies would enhance the validity and applicability of the findings.
CONCLUSION
The cumulative improvements of the 9-Test Battery underscore the overall efficacy of both approaches in enhancing functional movement patterns and reducing injury risk. While plyometric training provides quicker gains in explosive and rotational tasks, conventional training contributes to steady improvements in balance, strength, and flexibility. However, the findings are limited by the short 8-week training period, which does not capture long-term effects or potential injury risks associated with plyometric exercises. Future research with longer intervention durations and diverse athlete populations is recommended to validate and expand these findings.
DECLARATIONS & STATEMENTS
Author’s Contribution
AS and AR: substantial contributions to the conception and design of the study.
AS, SR and HMABR: acquisition of data for the study.
AS, AA and ZA: analysis of the data for the study.
AS, ZA, SR: interpretation of data for the study.
AS: drafted the work.
AS, FA, AA, AR and HMABR: revised it critically for important intellectual content.
AS, FA, AA, AR and HMABR: final approval of the version to be published and agreement to be accountable for all aspects of the work in ensuring that questions related to the accuracy or integrity of any part of the work are appropriately investigated and resolved. All authors contributed to the article and approved the submitted version.
Ethical Statement
The study conducted in PAF base Murid, Chakwal from 1st September 2023 to 30th October 2023. Ethical approval was taken from Research Ethical Committee of Riphah College of Rehabilitation and Allied Health Sciences, Islamabad (Riphah/RCRAHS-ISB/REC/MS-PT/01667)
Consent Statement
Informed consent was obtained from all subjects involved in the study.
Data Availability Statement
The data presented in this study are available on request from the corresponding author.
Acknowledgments
None to declare.
Funding Sources
None to declare.
Conflicts of Interest
None to declare.
REFERENCES
- Pardiwala DN, Rao NN, Varshney AVJSh. Injuries in cricket. Sports Health. 2018;10(3):217-22. [CrossRef][PubMed]
- Soomro N, Strasiotto L, Sawdagar T, Lyle D, Mills D, Ferdinands R, et al. Cricket injury epidemiology in the twenty-first century: what is the burden? Sports Med. 2018;48:2301-16. [CrossRef][PubMed]
- Rahman E, Akter MF, Haque MO, Habibur Rahman MJJoCMR, Opinion. Common sports injuries among male cricket players in bangladesh. J. Curr Med Res Opin. 2019;2(11):331-3. [CrossRef]
- Nilamdeen A, Edirimanne YN. Therapeutic exercises for rotator cuff injuries among cricket players: Literature Review. 2022.
- Mansingh AJIJoO. Shoulder injuries in modern cricket: should an increase be anticipated?. Indian J Orthop. 2023;57(10):1561-4. [CrossRef][PubMed]
- Gill SA, Akhtar T, Nazeer T, Shahid HJJotRSoPVN. Rehabilitation of acute and chronic ankle sprain of male cricketers through aqua exercise. J. Pharm. Res. Int. 2019;56(2). [CrossRef]
- Hunt AJCO, Research® R. Musculoskeletal fitness: the keystone in overall well-being and injury prevention. Clin Orthop Relat Res. 2003;409:96-105. [CrossRef][PubMed]
- Knapik JJJJosomaprjfSmp. The importance of physical fitness for injury prevention: part 1. 2015;15(1):123-7. [CrossRef][PubMed]
- Lorenz DS, Reiman MPJSh. Performance enhancement in the terminal phases of rehabilitation. J Spec Oper Med. 2011;3(5):470-80. [PubMed]
- Singla D, Hussain MEJJosr. Adaptations of the upper body to plyometric training in cricket players of different age groups. J Sport Rehabil. 2019;29(6):697-706. [CrossRef][PubMed]
- Silva AF, Clemente FM, Lima R, Nikolaidis PT, Rosemann T, Knechtle BJIjoer, et al. The effect of plyometric training in volleyball players: A systematic review. Int J Environ Res Public Health. 2019;16(16):2960. [CrossRef][PubMed]
- Buckthorpe M, Della Villa FJIjospt. Recommendations for plyometric training after ACL reconstruction–A clinical commentary. 2021;16(3):879. [CrossRef][PubMed]
- Ashraf N, Ullah I, Shah M, Hussain SA, Batool UBJTRJ. Effects of plyometric training program on speed and agility in young cricketers: T. Rehabili. J. 2019;3(01):85-90. [CrossRef]
- Gul T, Razzaq A, Sheraz SJTRJ. The comparison of plyometric and resistance warmup protocols on the running performance in recreational athletes: T. Rehabili. J. 2022;6(01):313-7. [CrossRef]
- Shukla AKJIJoPE, Sports, Health. Effect of plyometric exercises on physical fitness component speed in cricket players. 2019;6(2):03-4.
- Winter L, Huang Q, Sertic JVL, Konczak J. The effectiveness of proprioceptive training for improving motor performance and motor dysfunction: a systematic review. Front Rehabil Sci. 2022;3:830166. [CrossRef][PubMed]
- Deng N, Soh KG, Zaremohzzabieh Z, Abdullah B, Salleh KM, Huang D. Effects of combined upper and lower limb plyometric training interventions on physical fitness in athletes: a systematic review with meta-analysis. Int J Environ Res Public Health. 2023;20(1):482. [CrossRef][PubMed]
- Wilson MT, Hunter AM, Fairweather M, Kerr S, Hamilton DL, Macgregor LJ. Enhanced skeletal muscle contractile function and corticospinal excitability precede strength and architectural adaptations during lower-limb resistance training. Eur J Appl Physiol. 2023;123(9):1911-28. [CrossRef][PubMed]
- Yoshiko A, Watanabe K. Impact of home-based squat training with two-depths on lower limb muscle parameters and physical functional tests in older adults. Sci Rep. 2021;11(1):6855. [CrossRef][PubMed]
- Langdown BL, Bridge MW, Li F-X. The influence of an 8-week strength and corrective exercise intervention on the overhead deep squat and golf swing kinematics. J Strength Cond Res. 2023;37(2):291-7. [CrossRef][PubMed]
- Marchetti PH, Guiselini MA, da Silva JJ, Tucker R, Behm DG, Brown LE. Balance and lower limb muscle activation between in-line and traditional lunge exercises. J Hum Kinet. 2018;62:15-22. [CrossRef][PubMed]
- Dong K, Yu T, Chun B. Effects of core training on sport-specific performance of athletes: a meta-analysis of randomized controlled trials. Behav Sci (Basel). 2023;13(2). [CrossRef][PubMed]
- Afonso J, Ramirez-Campillo R, Moscão J, Rocha T, Zacca R, Martins A, et al. Strength training versus stretching for improving range of motion: a systematic review and meta-analysis. Healthcare (Basel). 2021;9(4). [CrossRef][PubMed]
- Rosenfeldt M, Stien N, Behm DG, Saeterbakken AH, Andersen V. Comparison of resistance training vs static stretching on flexibility and maximal strength in healthy physically active adults, a randomized controlled trial. BMC Sports Sci Med Rehabil. 2024;16(1):142. [CrossRef][PubMed]
- Bocheng C, Ziyan Y, Jiaxin W, Wang G, Tiancheng Y. Effects of 16 weeks of plyometric training on knee biomechanics during the landing phase in athletes. Eur J Sport Sci. 2024;24(8):1095-109. [CrossRef][PubMed]
- Shaukat M, Aftab A, Amin A, Altaf SJTRJ. Dynamic stretching versus plyometric push up training on upper body performance in cricketers. 2024;8(01):11-8. [CrossRef][PubMed]
- McKinlay BJ, Wallace P, Dotan R, Long D, Tokuno C, Gabriel DA, et al. Effects of plyometric and resistance training on muscle strength, explosiveness, and neuromuscular function in young adolescent soccer players. J Strength Cond Res. 2018;32(11):3039-50. [CrossRef][PubMed]
- Dawson SJ, Herrington L. Improving single-legged-squat performance: comparing 2 training methods with potential implications for injury prevention. J Athl Train. 2015;50(9):921-9. [CrossRef][PubMed]
- Van Roie E, Walker S, Van Driessche S, Delabastita T, Vanwanseele B, Delecluse C. An age-adapted plyometric exercise program improves dynamic strength, jump performance and functional capacity in older men either similarly or more than traditional resistance training. PLoS One. 2020;15(8):e0237921. [CrossRef][PubMed]
Submitted
Accepted
Published
How to Cite
Issue
Section
License
Copyright (c) 2024 Aqsa Safdar, Farhan Ahmad, Aisha Amin, Abdul Rehman, Hafiz Muhammad Abu Bakar Rashid

This work is licensed under a Creative Commons Attribution 4.0 International License.
Authors retain copyright and grant the journal right of first publication and allows others to share the work with an acknowledgment of the work’s authorship and initial publication in this journal. No use, distribution or reproduction is permitted which does not comply with these terms.










